过滤器压降的计算
过滤器压降的计算
液体透过过滤层时,液体与介质产生摩擦,必然引起过滤器的压力下降,过滤介质的表层月粗糙,以及内部松散的颗粒层越多,引起摩擦也愈大,压降也更高,介质孔隙率е,是单位体积空隙体积占整个介质层的体积 ,固液分离中,我们一般区另外一个参数
1-е=φ (固体所占体积分数)
体积流速与压降之间的关系,达西定律

式中
ΔP表示压降 ,PA
L表示介质层厚度
μ表示介质粘度
dv表示在一定时间内介质透过过滤层的流量
A表示介质层的断面面积Cm2
K表示介质层的渗透率Cm2
渗透率,渗透层的截面积A为1Cm2,厚度为1CM,介质粘度为1(0.001Pa.S),压差100Kpa 液体体积流速为1CM3/s时,渗透率就是1达西
1darcy=9.87*10
-13 M
2
渗透滤K=

联合1,2综合

(使用牛顿液体)
另外再实际应用中,初始压差是可以测量的,因此在很多场合推算过滤器的终压差的的时候,也有用初始压差+运行压差推算系统压差
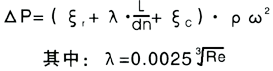
过滤器阻力损失计算
|
ΔP--阻力损失,Pa
|
|
λ--摩擦系数,无因次
|
|
Re-雷诺数,Re=(ω·dn)/u,无因次
|
|
ω-流体速度,m/s
|
|
ρ-流体密度,kg/m.files/shu3.gif)
|
|
μ-动力粘度,kg/m·s
|
|
u-运动粘度u=μ/ρ,m /s
|
|
L-当量直管段长度,m,类管件过滤器查阅下表“类管件过滤器公称直径与当量直管段长度关系”
|
|
D-类管件过滤器内径,m
|
|
dn-当量直径m,类管件过滤器取管件内径"D",筒壳式过滤器取‘4s/c’
|
|
S-液体流通面积,m.files/shu2.gif)
|
|
C-液体湿周(湿润周长),C=2X(筒体内径+筒体高度)m
|
|
ξ -入口阻力系数,取1.1
|
|
ξ -出口阻力系数,取0.5
|
|
|
|
过滤器公称通径与当量直管段长度关系
|
|
公称通径DN
|
50
|
80
|
100
|
150
|
200
|
|
当量直管段长度L
(×10 mm)
|
25∽30
|
18∽23
|
15∽20
|
22∽38
|
32∽40
|
|
公称直径DN
|
250
|
300
|
350
|
400
|
450
|
|
当量直管段长度L
(×10 mm)
|
27∽43
|
58∽65
|
48∽85
|
60∽95
|
62∽98
|
|
|
|
|
1)对于‘Y型’等管件类过滤器,按下式计算:
|
|

|
|
2)对于‘筒壳’类过滤器,按下式计算:
|
|

|
未完待续!